电学基础
1.1基础概念
1.1.1 电流
原子
宏观世界由微观粒子构成,而原子是其中最基本的构造单元。一个典型原子由带正电的原子核和带负电的电子组成,二者之间通过电磁力相互吸引而维持结构稳定。这一‘异性相吸,同性相斥’的基本电荷规律,是自然界微观秩序的基础。
原子与电荷
原子核带正电,吸引带负电的电子,电子带负电之间又互相排斥。绝大多数固体材料,他们的原子核和电子靠得近是稳定的。像这样的结构:

但是在金属固体里面,比如铜,电子离原子核远,可以自由移动的。原子核原地不动,保持着材料的结构稳定,电子可能会在原子之间迁移跳动:

我们假设生产了一根厚度只有一个原子的导线,示意图为了简化,每个原子核只画了一个电子。假设1号带负电荷的电子不老实,他往右边挤,会导致2号电子往3号的方向挤,3号电子也跟着往右边挤。
类似一辆挤满人的公交车,前门进去一个,后门就挤出来一个:

电流概念
电流(Current)的形成本质上是电荷的定向移动。电流是电荷在单位时间内通过导体横截面的流动量,其大小定义为:
I = Q / t其中:
- I:电流(单位:安培,A)
- Q:通过导体横截面的电荷量(单位:库仑,C)
- t:所用时间(单位:秒,s)
电流是怎么形成的?
自由电子的运动
在金属导体中,例如铜、铝,存在大量自由电子。这些电子本来在导体中是无规则热运动的,不会产生电流。
施加电压
当在导体两端施加电压(电势差)时,就在导体内部形成了一个电场。
电场的存在使得自由电子受到力的作用,沿着电场方向(负极 → 正极)定向运动,这个定向运动叠加在原有的热运动上,就形成了电流。
⚠️注意:电子的实际运动方向与电流方向相反(电子从负极流向正极,而电流方向是定义为正电荷移动的方向,即从正极流向负极)。

简单类比
可以把电流类比成水流:
- 电荷好比水分子
- 电压好比水压
- 导体好比水管
- 电流就像水流,是水在水管中的有序流动
电子是导体中的还是电源中的?
电子主要来自导体,电源只是驱动它们流动,形成电流, 电池通过化学反应“产生电子”并“推动导体中的电子定向流动”,从而形成电流。。
常见的电流
| 序号 | 设备/现象 | 电流类型 | 典型电流范围 | 说明 |
|---|---|---|---|---|
| 1 | 手电筒(1~3节干电池) | 直流 | 0.1 ~ 0.5 A | 普通LED灯珠、白炽灯泡使用 |
| 2 | 手机运行时 | 直流 | 0.5 ~ 2 A | 屏幕、CPU、无线模块等功耗 |
| 3 | 手机充电时 | 直流 | 1 ~ 3 A | 快充时电流更高 |
| 4 | 笔记本电脑运行 | 直流 | 2 ~ 6 A | 取决于CPU负载与显卡功率 |
| 5 | 家用LED灯(单个) | 交流(整流后直流) | 0.05 ~ 0.1 A | 节能灯耗电低 |
| 6 | 家用电饭煲/电水壶 | 交流 | 5 ~ 10 A | 功率大,加热设备电流大 |
| 7 | 电磁炉 | 高频交流 | 10 ~ 15 A | 电感线圈驱动加热 |
| 8 | 空调(1匹~2匹) | 交流 | 5 ~ 15 A | 启动电流可达20A以上 |
| 9 | 家用洗衣机 | 交流 | 3 ~ 10 A | 分为洗涤电机和加热器部分 |
| 10 | 电冰箱 | 交流 | 1 ~ 3 A | 压缩机周期性启动停止 |
| 11 | 电动车电机(小型) | 直流 | 10 ~ 30 A | 启动时可达更高 |
| 12 | 电焊机 | 直流或交流 | 50 ~ 300 A | 焊接需要高电流快速熔化金属 |
| 13 | 雷电(自然现象) | 脉冲直流 | 10,000 ~ 200,000 A | 极短时间强脉冲放电 |
| 14 | 人体安全电流极限 | 交流/直流 | < 0.05 A | 超过 0.05A 可能致命 |
| 15 | 心脏起搏器 | 直流脉冲 | 微安级(μA) | 极低,精准控制心跳节律 |
| 16 | CPU芯片内部电流 | 直流 | 毫安级(mA) | 电流密度大,但电流值小 |
| 17 | 电动汽车快充 | 直流 | 100 ~ 500 A | 超充桩电流极高 |
1.1.2 电压
把电压比成水压帮助理解

电压的概念
电压(Voltage)是电场施加在电荷上的力量,使其在电路中移动的能量。它也被称为电势差。
电压的单位是伏特(V),1伏特代表电场对1C电荷做1焦耳功(1V*1A*1s=1J)。电压的换算关系:1Kv=1000V,1V=1000mV,1mV=1000μV。

常见的电压
| 序号 | 设备/现象 | 电流类型 | 典型电流范围 | 典型电压范围 | 说明 |
|---|---|---|---|---|---|
| 1 | 手电筒(1~3节干电池) | 直流 | 0.1 ~ 0.5 A | 1.5 ~ 4.5 V | 普通LED灯珠、白炽灯泡使用 |
| 2 | 手机运行时 | 直流 | 0.5 ~ 2 A | 3.7 ~ 4.4 V | 屏幕、CPU、无线模块等功耗 |
| 3 | 手机充电时 | 直流 | 1 ~ 3 A | 5 ~ 20 V | 快充协议提升电压和电流 |
| 4 | 笔记本电脑运行 | 直流 | 2 ~ 6 A | 12 ~ 20 V | 取决于CPU负载与显卡功率 |
| 5 | 家用LED灯(单个) | 交流(整流后直流) | 0.05 ~ 0.1 A | 220 V AC 输入 / 低压DC驱动 | 节能灯耗电低 |
| 6 | 家用电饭煲/电水壶 | 交流 | 5 ~ 10 A | 220 V | 功率大,加热设备电流大 |
| 7 | 电磁炉 | 高频交流 | 10 ~ 15 A | 220 V | 电感线圈驱动加热 |
| 8 | 空调(1匹~2匹) | 交流 | 5 ~ 15 A | 220 V | 启动电流可达20A以上 |
| 9 | 家用洗衣机 | 交流 | 3 ~ 10 A | 220 V | 分为洗涤电机和加热器部分 |
| 10 | 电冰箱 | 交流 | 1 ~ 3 A | 220 V | 压缩机周期性启动停止 |
| 11 | 电动车电机(小型) | 直流 | 10 ~ 30 A | 36 ~ 72 V | 启动时可达更高 |
| 12 | 电焊机 | 直流或交流 | 50 ~ 300 A | 24 ~ 80 V | 焊接需要高电流快速熔化金属 |
| 13 | 雷电(自然现象) | 脉冲直流 | 10,000 ~ 200,000 A | 数百万伏(MV) | 极短时间强脉冲放电 |
| 14 | 人体安全电流极限 | 交流/直流 | < 0.05 A | >36 V AC 有危险 | 超过 0.05A 可能致命 |
| 15 | 心脏起搏器 | 直流脉冲 | 微安级(μA) | 2 ~ 5 V | 极低,精准控制心跳节律 |
| 16 | CPU芯片内部电流 | 直流 | 毫安级(mA) | 0.8 ~ 1.2 V | 电流密度大,但电流值小 |
| 17 | 电动汽车快充 | 直流 | 100 ~ 500 A | 400 ~ 800 V | 超充桩输出电压、电流极高 |
1.1.3 电阻
电阻的概念:
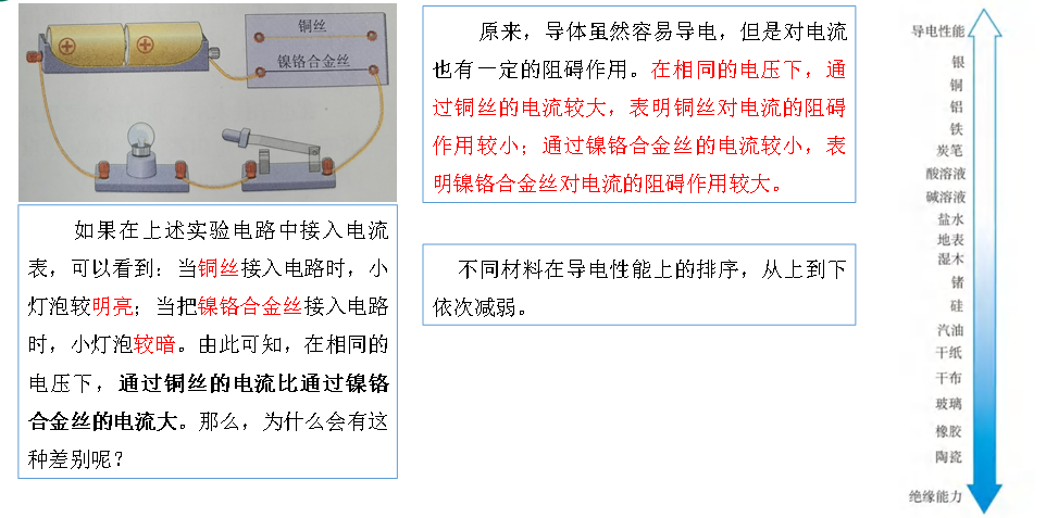
导体对电流的阻碍作用就叫该导体的电阻。可以用下图形象的表示。

在物理学中,用电阻来表示导体对电流阻碍作用的大小。导体的电阻越大,表示导体对电流的阻碍作用越大。导体的电阻通常用字母R表示,单位是欧姆,简称欧,符号是Ω。
电阻的单位换算:1KΩ=1000Ω=103Ω,1MΩ=1000000Ω=106Ω
不同导体对电流的阻碍效果

1.1.4 电路
物理学中将电池这类提供电能的装置叫做电源,将灯泡、电动机、蜂鸣器等这类消耗电能的装置叫做用电器。
电源、用电器,再加上导线,往往还有开关,组成了电流可以流过的路径——电路。

电路图

通路、断路、短路
人们把正常接通的电路,即用电器能够工作的电路叫做通路。
电路中如果某处被切断,电路中就不会有电流流过,这种情况叫做断路。
直接用导线将电源的正、负极连接起来,这种情况叫做短路。

1.1.5 直流电和交流电
电流大小和方向都不变的电流称为直流电,电流大小或方向随时间做周期性变化的电流称为交流电。
直流电
有固定的正极和负极。电流一直是从正极流向负极。通常以弱电为主。比如:干电池、锂电池、电平、蓄电池、光伏发电板等。

交流电
电流的大小或方向,随着时间的变化而交替变化。通常以大功率为主。比如:220V的家用电源。频率是50HZ的正弦波交流电。交流电有火线和零线之分,但没有正负之分。零线是接地的,电压始终是0V。
1.1.6 弱电和强电
弱电一般电压较低,国家规定的安全电压是交流36V以下、直流24V以下。弱电通常用于直流电路(3.3V、5V、12V)、音频和视频线路、网络线路、电话线等。弱电常用于信号传递。
强电一般电压较高,比如,220V的家用电,1000多伏及以上的高压电。强电常用于传递能量。
1.2 常用定律
1.2.1 欧姆定律
定义:
电阻不变的的情况下,电压和电流成正比。

根据欧姆定律计算
- 一条电路中有一个电阻为2欧姆,电流为3安培,求该电路的电压。
- 一个电路中有两个电阻分别为4欧姆和6欧姆,电流为2安培,求该电路的电压。
- 一个电路中有三个电阻,分别为3欧姆、4欧姆和5欧姆,电压为12伏特,求电路中的总电流。
- 一个电路中有两个电阻,分别为3欧姆和6欧姆,总电压为15伏特,求电路中的总电流。
- 一个电路中有三个电阻,分别为2欧姆、3欧姆和5欧姆,总电流为5安培,求电路中的总电压。
答案:6伏特,20伏特,1安培,1.67安培,50伏特。
1.2.2 功率计算
电功率
指电流在单位时间内做的功,是用来表示消耗电能的快慢的物理量。电功率可以通俗地理解为:电器在单位时间内“用电做事”的快慢。
电路中元器件的工作功率计算公式如下:

例如:一个小风扇工作时两端电压为2.6v,工作电流为0.02A,那么小风扇工作时的总功率是多少?

1.2.3 焦耳定律
定义
电流通过导体产生的热量跟电流的二次方成正比,跟导体的电阻成正比,跟通电时间成正比。

电流通过导体时,如果电能全部转化为内能,而没有同时转化为其他形式的能量,那么电流产生的热量Q就等于消耗的电能W,即Q=W=UIt。
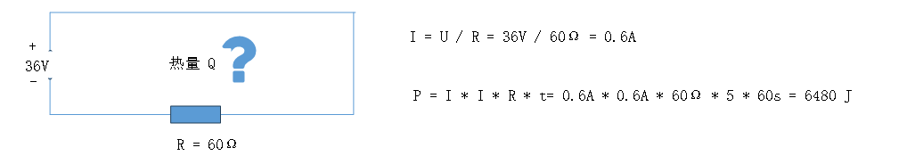
例如,一根60Ω的电阻丝接在36V的电源两端,在5min内共产生多少热量?

1.2.4 串联电路和并联电路
串联、并联电路在电流、电压、电阻等方面的关系
| 项目 | 串联电路 | 并联电路 |
|---|---|---|
| 电流关系 | I = I1 = I2 | I = I1 + I2 |
| 电压关系 | U = U1 + U2 | U = U1 = U2 |
| 电阻关系 | R = R1 + R2 | 1/R =1/R1 + 1/R2 |
| 电压分配关系 | U1/R1 = U2/R2 | 电压相等,无需分配 |
| 电流分配关系 | 电流相等,无需分配 | I1R1 = I2R2 |
| 特点 | 一个坏,全断(如灯串) | 一个坏,其它继续工作(如家用电器) |


并联电路中只有两个电阻并联可以快速求总阻值 (300 * 600) / (300 + 600) = 200, 再求电路中总电流:9 / 200 = 0.045。
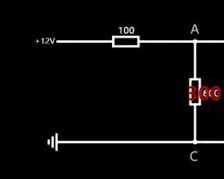
计算如下电路中,A、B、C点的电压:
电路图1:

解析:
1.C点电压为0V,因为C点附近接地了;
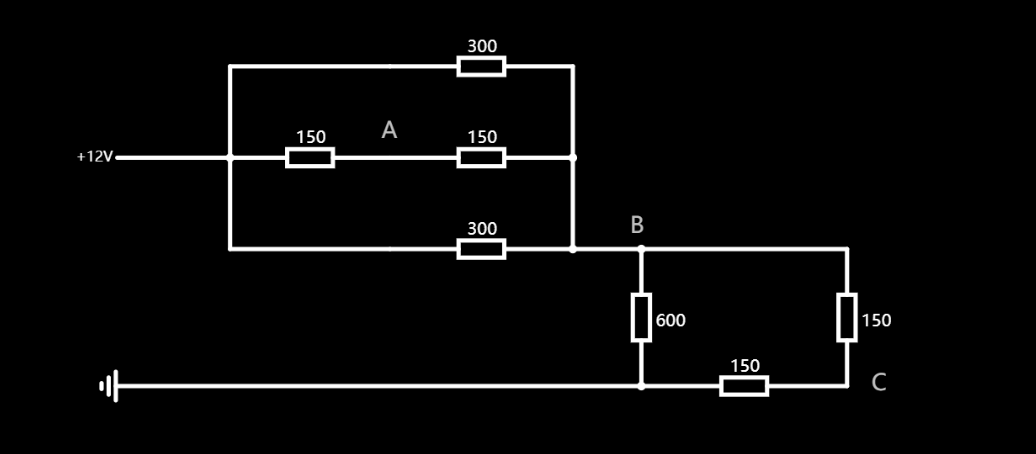
2.如下图,把右边红色框电路看出一个整体,左边红色框部分和右边红色框部分串联,串联分压

3.框中部分为并联,可求出并联电路中电阻大小 (600 *(400+200))/(600+200+400) = 300

4.求出并联电路电阻后,此时可以看成:

变成一个串联电路,一个电阻100一个300,电压消耗比例为1:3,A点电压为12 - 12*(1/4) = 9;
5.再去掉一些电路算B点电压,此时为一个串联电路,串联分压:B点电压:9 - 9*(2/3) = 3;

电路图2:

电路图3:

电路图4:

我一直梦想, 看到你们相册那样的地方。真棒。
我喜欢, 这里分享真实经验。你的项目 就是 属于这里的。请继续。
我热爱这样的想法, 去那么多国家。真的很鼓舞。
能感受到热爱。继续保持 感受。
我关注这样的资源, 写得很实在。你的网站 就是 属于这里的。加油。
1
1
1
1
1